An earlier post noted that the real earnings gains over the past 20 years were as clean an example of a composition effect as you're likely to see. Earnings among full-time workers with a given level of education have shown some modest growth over time, but average earnings growth for all full-time workers has been stronger than it has been for each of its components:
The explanation is that that the composition of educational attainments has changed, to a degree that I find striking in its size and speed:
I sort of left it at that in the earlier post, but I'm revisiting the topic with the question of how much of the good news in earnings over the last 20 years can be explained by the increase in education attainments alone. The counterfactual here is to suppose that the distribution of education attainment levels stays the same throughout the sample, while the increases in within-group earnings are the same as we observed. (I leave it as an exercise to the reader to determine if the growth in within-group earnings would have in fact been the same if education attainment rates had stayed constant.) When you run that counterfactual, you find that about one-third of the increase in the average earnings of all full-time workers can be explained by the increase in education levels:
There's another 'good news' feature of the data that's worth breaking down as well: the apparent convergence in women's and men's earnings:
You can argue that the ratio is still too far from 1 and/or that progress is slow, but at least the ratio has increased. But again, things don't look all that striking when you break that ratio out by education attainment:
There doesn't seem to be a lot happening to that ratio with groups. But scroll up to the second chart of this post: the gains in education attainment have gone disproportionately to women. What would have happened to the ratio if the composition of men's and women's educational attainments had stayed at their 1997 levels?
It looks like all of the apparent gains in ratio of women's and men's earnings can be explained by the simple fact that women's improvements in educational attainment rates have outstripped those of men.
This may be well known to people who pay closer attention to these data than I do, but it was definitely new to me. Either way, the explanatory power of trends in education attainment levels is a story that appears to have gone under the radar of popular debate.
**********
Technical note: I'm sure many of you are wondering by now why I didn't talk about medians. The answer is that I don't know how to talk about composition effects when working with medians.
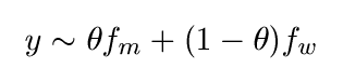
Suppose that the distribution of a population is a mixture of the form
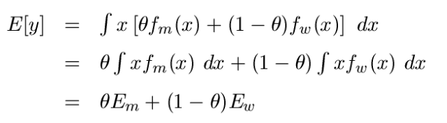
The mean of the mixture is a weighted average of the means of the modes, with the same weights as in the mixture:
In this case, you can extract directly what happens to E[y] as you change θ.
But the median of that mixture is a very different-looking animal:
This cannot be expressed as a simple combination of the medians of the node distributions:
This is why I'm leery of analyses based on of medians of subgroups. I don't see the link between the median of the subgroup and the median of the population as a whole.










What would be the pattern if keeping the earnings of each education group fixed and allowing only the distribution of education groups to evolve as the actual? It is a bit surprising in the first figure that the earnings of graduate degrees are generally the second lowest while the groups of post-secondary diploma and, in recent years, some secondary and high school are doing that well…. Then why do we see the trends of education in the second figure? Non-monetary motives? Over-supply of high education? Interesting food for thought…
Is the key on the first graph right? Even though all the groups are scaled to be one at the beginning, I still would have expected the “all” group to be the smoothest line, fitting somewhere in the middle i.e. the black line. Or maybe I am misunderstanding what it is measuring?
Frank: Earnings do increase with income; see the previous post I linked to.
mpledger: The level for the total does lie somewhere in the middle; the point is a composition effect in the growth rate. Much of the gains in the total is due to more people being in the group with higher earnings. (The level is
Good post. Slightly off-topic: I saw some graphs a few days back saying that the stagnation in US wages is at least partly a composition effect on white/non-white wages (both groups had increasing wages, but the composition of the average was changing). But as usual, I can’t remember where I saw it.
Nick: as the inimitable Larry Wasserman put it, “without causal language— counterfactuals or causal graphs— it is impossible to describe Simpson’s paradox correctly.” Is the “right” average the unconditional, the conditional, or neither? The answer depends on causal beliefs that are impossible in principle to read off the data. In Stephen’s example, the causal role of education is intuitively persuasive – although not necessarily correct – so his conditional analysis is probably right. Or anyway, I was convinced. But the right causal model in your example is not as clear. Perhaps there is a “white wage” and a “non-white wage” for any given job, and the observed unconditional wage stagnation has been caused by changes in the workforce composition, maybe due to demographic changes. In that case, stagnation is a composition effect of workforce changes. But maybe whites have a higher reservation price of labour than non-whites and wage stagnation has caused changes in workforce commposition; then the latter would be a “decomposition effect” of stagnation. Or perhaps workforce composition is indeed a confounder, but there are other, unobserved confounders, in which case neither the composition nor the decomposition view is accurate.