How much revenue will the Liberals generate with a new tax bracket on high earners?

[I started writing this post in May, but I stopped when it looked like the Liberals were not going to be in a position to implement this measure. Happily, I didn't actually delete it.]

[An earlier version made a stupid mistake; I did everything under tha assumption that the increase was 3 percentage points, and not 4. Gah.] 

The Liberal Party of Canada is proposing to increase the federal tax rate on taxable income above $200,000 from the current rate of 29% to 33%. According to the LPC, this measure will generate $3b in revenues:

Lpc_revs

In this post, I'm going to see if I can reproduce that estimate using publicly-available data. If you detect trace elements of snark in what follows, they are due to my irritation at having to be obliged to go through all this. In 2015, it shouldn't be enough to plop a number like that into public debate without supporting documentation.

I'm writing this as I work through the math. At this point, I don't know what sort of answer I'll get.

There are two questions that have to be addressed:

  1. How big is the tax base upon which this new rate will be applied?
  2. Knowing what we know about how the tax base reacts to changes in the tax rate, how does a higher rate translate into higher revenues?

My strategy for dealing with the first question is to estimate the tax base in the most recent year available, and then assume that it has grown and will grow in line with nominal GDP.

The most recent publicly-available for data on taxable incomes is from 2012:  

 

Top incomes: 2012
  Total incomes between $150k and $250k Total incomes above $250k Total incomes above $150k
Number of files 443,160 215,350 658,510
Average total income (Thousands) $185.287 $540.585 $301.497
Total income (Thousands) $82,111,674 $116,415,030 $198,526,704
Taxable income (Thousands) $72,288,146 $104,293,230 $176,581,376
Taxable income: percent of total income 88.0% 89.6% 88.9%

 

 And as a check, here are the data from 2011:

 

Top incomes: 2011
  Total incomes between $150k and $250k Total incomes above $250k Total incomes above $150k
Number of files 414,890 212,450 627,340
Total income (Thousands) $76,926,292 $118,667,577 $195,593,869
Average total income (Thousands) $185.414 $558.671 $311.783
Taxable income (Thousands) $67,541,529 $105,586,721 $173,128,250
Taxable income: percent of total income 87.8% 89.0% 88.5%

 

Unfortunately, these data are tabulated for total incomes, and not taxable incomes. However, it looks as though the ratio of taxable to total income is fairly stable, between 88%-89%. So I'm going to assume that this ratio will hold throughout. People who have $200,000 in taxable incomes will have, on average, somewhere between $224,000 and $228,000 in total income. Let's split the difference and set the threshold at $226,000 and suppose that taxable income in this income range is 88.5% of total income.

Inconveniently, the CRA doesn't provide data for this threshold, so we're going to have to do some interpolation. What I want to interpolate is the interval between $226k and $250k. 

People working in this field seem to have concluded that the Pareto distribution is well suited for modelling incomes in the far right tail of the income distribution, so I'm going to go along with that here. 

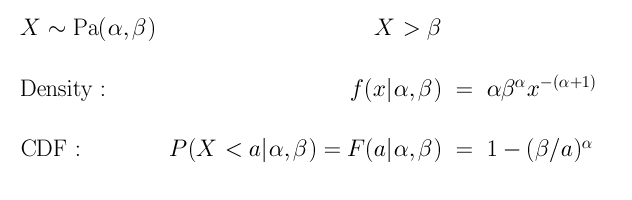
Here are the densities and cumulative distribution functions of the Pareto distribution:

Pareto1

The β parameter is the lower bound, and the α parameter captures the skewness towards the top of the distribution. Small values of α indicate a higher concentration in the right-hand tail. If α≤1, the tail concentration is so strong that the mean of the Pareto doesn't even exist:

Pareto2

You can get a method of moments estimator for α from the lower bound and the mean, which is convenient.  Here's what you get if you use the information in the tables above to recover α: 

 

Method of moments estimates for α
  Total incomes above $150k  Total incomes above $250k
2011 1.80 1.52
2012 1.99 1.86

 

This is the usual approach for estimating α in this literature, but I don't think it's appropriate for this particular interpolation exercise. In 2012, there were 658,510 tax files with total incomes above 150,00$, and 215,350 with total incomes above  $250,000. In other words, 67.3% of the tax files with total incomes above $150,000 had incomes less than $250,000.

This is a larger fraction than would be suggested by values of α between (say) 1.5 and 1.9. If α = 1.9, the probability associated with the $150k-$250k interval would be 0.621. We're interested in values of total incomes not far from $250,000, and I think that this is the feature of the data we should be reproducing as closely as possible. So I'm going to use the value of α that reproduces the actual frequency observed in the tax data:

Pareto3

 

So for α = 2.19, the the conditional distribution for the interval between some lower bound b (b = $226k) and $250k is

Pareto4

The average total income for b < x < 250 is 

 

 

Pareto5

Happily, this is one of those integrals that's easy to work out by hand – which no doubt explains some of the popularity of the Pareto distribution here. For α = 2.19, β=150, we have F(250) = 0.673, F(226) =  0.593 and F(250)-F(226) = 0.0808. This last number is simply the proportion of files in the $150k and over group with total incomes between $226 and $250k. The number of files in this interval is the share times the total: 0.0808 x 658,510 = 53,213.

The average income in this interval is therefore

Pareto6

 

Multiplying this average income by the number of files in this interval yields and estimate for total income; multiplying this by 0.885 is my estimate for taxable income.

These estimates can now be added to the tax files with total incomes above $250k:

 

Top incomes: 2012
  Total incomes between $226k and $250k Total incomes above $250k Total:  both groups
Number of files 53,213 215,350 268,563
Average total income (Thousands) $237.357 $540.585 $480.504
Total income (Thousands) $12,630,582 $116,415,030 $129,045,612
Taxable income (Thousands) $11,178,066 $104,293,230 $115,471,303
Taxable income above $200k threshold (Thousands) 535,381 61,423,230 61,958,611

 

The relevant tax base for the Liberal proposal is the taxable income above $200k; to get this, we take the total number of eligible files, multiply it by $200k, and subtract it from the total taxable income. In 2012, this worked out to $62b, and four extra percentage points would have generated applied $2.5b in extra revenues. That's a bit below $3b, but then again, those are data from 2012. You'd expect these numbers to increase over time. All we have to do is inflate those numbers to account for growth in nominal income since 2012.

Then again, maybe not. Here is what you get if you apply the same procedure (including a different estimate for α) to the data from 2011:

 

Top incomes: 2011
  Total incomes between $226k and $250k Total incomes above $250k

Total: both groups

Number of files 50,677 212,450 551,240
Average total income (Thousands) $237.371 $558.671 $338.542
Total income (Thousands) $12,029,216 $118,667,577 $186,180,077
Taxable income (Thousands) $10,645,856 $105,586,721 $165,237,512
Taxable income above $200k threshold (Thousands) 510,480 63,096,721 63,607,201

 

 

According to the national accounts, nominal GDP increased by 3.5% between 2011 and 2012. But the tax base for the new tax bracket fell by 2.5% from $63.6b in 2011 to $62b in 2012. This is perhaps not as surprising as it sounds: we know that the top income share declined between 2011 and 2012 (the last year for which data are available). 

So any estimate for high end tax revenues has to be based on a conjecture for the evolution of top-end income concentration since 2012, and this conjecture has to be put into the context of a steady decline in the income share of the top one per cent since 2006. I'm going to assume here that this decline leveled out after 2012 and that the top-end tax base has since increased in line with nominal GDP. NGDP increased by 7.8% between 2012 and 2014, so that would have brought the top-end tax base up to $66.8b, and the extra tax bracket would have brought in $2b.

Now we want to get from 2014 to 2016. According to the Bank of Canada's July Monetary Policy Report, real GDP in 2016 is expected to be 3.5% higher than it was in 2014. The Bank of Canada doesn't provide forecasts for the GDP deflator, but the PBO has given it a shot: they have the deflator increasing by 3.1% over this time. This brings the total increase in nominal GDP over 2014-16 to 6.6%.

If we go on to make the – possibly heroic – assumption that the top-end tax base has tracked nominal GDP since 2012, this would bring it up to $71.2b in 2016. Applying the 4 percentage point increase to this base yields a revenue increase of $2.9b.

But of course, this assumes that the tax base stays constant in the face of the tax increase – that is to say, it's a static analysis. But we know that's unlikely to happen. When we estimate expressions like

log[tax base] = e * log[1 – tax rate] + controls

the value of the elasticity parameter e is significantly positive. An increase in the rax rate – that is, a decrease in the net-of-tax rate – reduces the tax base. Available estimates for e in Canada are between (say) 0.2 and (say) 0.7. According to the OECD tax database, the current top rate (a weighted average of the top rates in each province) is 0.495. Increasing this to 0.535 reduces the log of the top net-of-tax rate by 0.08. This implies a reduction in the tax base somewhere between 1.7% and 5.8%.

Applying these reductions to an initial tax base of $71.2b brings it down to somewhere between $67.1 and $70.0b.

Revenues from taxable incomes above $200,000: 2016
  e = 0.2 e = 0.7
29% tax rate $71.2 * 0.29 = $20.6b $71.2 * 0.29 = $20.6b
33% tax rate $70.0 * 0.33 = $23.1b $67.1 * 0.33 = $22.1b
Change in revenues $2.5 $1.5

 

which implies that new revenues from the increased tax rate would be somewhere around $2.0b, give or take a half-billion or so.

And I'm done. I got something that is a bit below the Liberals' estimate of $3b, but it's close enough.

[Update: It turns out that the Liberals' costing document – which I didn't have in May – cites a revenue of estimate of $2.8b.]

[Update2: I added the last table.]

5 comments

  1. Sandwichman's avatar

    You may want to note the revision, Stephen, because an earlier version of this post went out with a different conclusion (assuming no one held a gun to your head):

    Applying these reductions to an initial tax base of $71.2b brings it down to somewhere between $68.2 and $70.4b, which implies that new revenues from the increased tax rate would be somewhere around $2.1b, give or take a half-billion or so.
    And I’m done. I can’t reproduce the Liberals’ estimate of $3b, although I suppose I could if someone held a gun to my head.
    To be sure, a $1b miss isn’t really isn’t much of a big deal, but then again, a billion here, a billion there, and pretty soon you’re talking about real money.

  2. JKH's avatar

    “In 2015, it shouldn’t be enough to plop a number like that into public debate without supporting documentation.”
    I found the lack of attention in the campaign directed to this side of the bargain to be weird. Perhaps it was fear of making reference to anything that might be even be remotely construed as sympathetic to the 1 per cent. Or maybe more simply nobody cares.
    Something a bit related you may be interested in for future analysis – or not – is that in roughly the last 7 years or so, the highest effective marginal tax rate on unadjusted taxable dividend income will have risen from 24 per cent to now a post-election 38 per cent (combined Fed/Ontario rate). That’s a nearly 60 per cent increase in the tax bill for each dollar of (grossed up) taxable dividend income now in the $ 200,000 plus zone. (The reasons include prior increases in marginal rates, a sequence of reductions in the corporate tax rate with complementary offsetting effects on the effective dividend rate, a change in the Ontario provincial treatment of the dividend tax credit, and this latest Liberal increase). Sympathy not, perhaps. But even so.
    In the same vein, a 4 percentage point increase in the marginal rate is an 8 per cent increase in the tax bill on income in this zone.
    Sock it to ‘em I suppose is the rule of the day.
    Do you think there is any validity in the Carter Commission conclusion about tax rates at this level?

  3. rsj's avatar

    I think it’s a matter of fairness that unearned income be taxed (at least) as much as earned income. This isn’t even getting to the notion of progressivity, given the distribution of wealth. I remember Buffet saying that his total tax rate was lower than his secretary’s, and most people would agree with him that there is something very wrong with that type of tax structure.
    Of course, that could mean lowering the rates of one rather than raising the rates of other, but steps towards equalization of tax rates for capital and labor income shouldn’t be viewed as “soaking” those who receive more capital income rather than labor income.

  4. Chris's avatar

    Why don’t we have better data regarding elasticity parameters in Canada? The estimated range of 0.2 to 0.7 is huge. The Ontario $220k tax bracket has now been around long enough that surely we should be able to understand exactly what the impact of that new bracket was. (And in a sense it’s a controlled experiment, because other provinces did not make the same move.)

  5. Nathan W's avatar

    Thanks!
    Also, re: the point by rsj on “unfair” tax differences between capital and labour. In a theoretically closed economy I understand the rationale of wanting to incentivize investment, but in a world with $156 trillion in financial assets (http://www.businessinsider.com/156-trillion-global-financial-assets-2014-3) and where capital moves easily across borders, isn’t it easy to attract sufficient capital to any project with decent prospects of achieving a decent return?
    It seems to me that low capital gains taxes in the era globalized capital markets can only be explained by effective lobbying on the part of capital holders. It seems silly in such a context for a small open economy to offer such strong incentives to allow money to work for itself, and such a relatively strong deterrent (much higher labour taxes than capital taxes) against the effort and innovation that puts this capital to good use.

Leave a comment